Fiskalni promet u FBiH u novembru manji za 325 miliona KM: Nema se para, ili je kriva neredna nedjelja

IMG_8310.jpeg - Fiskalni promet u FBiH u novembru manji za 325 miliona KM: Nema se para, ili je kriva neredna nedjelja

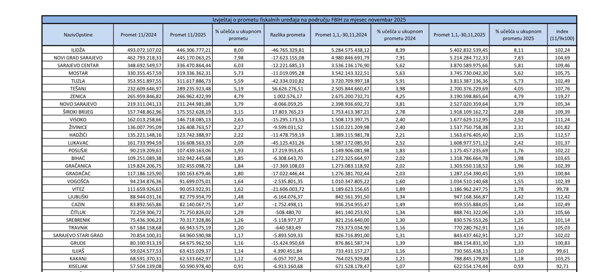
Fiskalni promet u Federaciji Bosne i Hercegovine u novembru 2025. godine iznosio je 5,57 milijardi KM, što je za 325 miliona KM manje u odnosu na isti mjesec prošle godine, pokazuju podaci Porezne uprave FBiH.

Pad od oko 5,5 posto zabilježen je uprkos izraženoj inflaciji i rastu cijena roba i usluga, što ukazuje na slabljenje realne potrošnje stanovništva.

Najveći nominalni pad prometa zabilježen je u većim urbanim sredinama i industrijskim centrima. Među općinama s izraženim minusom su Ilidža (–46,7 miliona KM), Tuzla (–42,3 miliona), Lukavac (–45 miliona), Novi Grad Sarajevo (–17,6 miliona), Centar Sarajevo (–12 miliona), Visoko (–15 miliona), Hadžići (–11 miliona) te Živinice (–9 miliona KM). Sličan trend prisutan je i u Gračanici i Gradačcu, s padom od oko 17 miliona KM.

Komentarišući ove podatke na svom Facebook profilu, načelnik Općine Novi Grad Sarajevo Semir Efendić ocijenio je da se uzroci ovakvog pada mogu jasno uočiti i na terenu.

– Detaljnija analiza uzroka ovog drastičnog pada prometa može se napraviti metodom posmatranja parking prostora, prilaznih puteva i samih tržnih centara u Istočnom Sarajevu, Doboju, Zvorniku i drugim gradovima, svake nedjelje – napisao je Efendić.

Iako kumulativni fiskalni promet od početka godine i dalje bilježi nominalni rast, novembarski pad sve se češće tumači kao signal da ekonomski pritisci najprije pogađaju potrošnju, posebno u lokalnim zajednicama s ograničenim privrednim kapacitetima.

Ukoliko se negativan trend nastavi i u decembru, godišnji rezultat mogao bi se približiti stagnaciji.

(Preporod.info)

Podijeli:

Povezane vijesti